Applies To
Excel for Microsoft 365 Excel for Microsoft 365 for Mac Excel for the web Excel 2024 Excel 2024 for Mac Excel 2021 Excel 2021 for Mac Excel 2019 Excel 2016 Microsoft Office Microsoft365.com

The CORREL function returns the correlation coefficient of two cell ranges. Use the correlation coefficient to determine the relationship between two properties. For example, you can examine the relationship between a location's average temperature and the use of air conditioners.

Syntax

CORREL(array1, array2)

The CORREL function syntax has the following arguments:

  • array1    Required. A range of cell values.

  • array2    Required. A second range of cell values.

Remarks

  • If an array or reference argument contains text, logical values, or empty cells, those values are ignored; however, cells with zero values are included.

  • If array1 and array2 have a different number of data points, CORREL returns a #N/A error.

  • If either array1 or array2 is empty, or if s (the standard deviation) of their values equals zero, CORREL returns a #DIV/0! error.

  • As much as the correlation coefficient is closer to +1 or -1, it indicates positive (+1) or negative (-1) correlation between the arrays. Positive correlation means that if the values in one array are increasing, the values in the other array increase as well. A correlation coefficient that is closer to 0, indicates no or weak correlation.

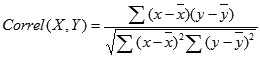
  • The equation for the correlation coefficient is:

    Equation

    where 

    x and y

    are the sample means AVERAGE(array1) and AVERAGE(array2).

Example

The following example returns the correlation coefficient of the two data sets in columns A and B.

Use the CORREL function to return the correlation coefficient of two data sets in column A & B with =CORREL(A1:A6,B2:B6). The result is 0.997054486.

Need more help?

You can always ask an expert in the Excel Tech Community or get support in Communities.

Need more help?

Want more options?

Explore subscription benefits, browse training courses, learn how to secure your device, and more.