Applies To
Excel for Microsoft 365 Excel for Microsoft 365 for Mac Excel for the web Excel 2024 Excel 2024 for Mac Excel 2021 Excel 2021 for Mac Excel 2019 Excel 2016

This article describes the formula syntax and usage of the PEARSON function in Microsoft Excel.

Description

Returns the Pearson product moment correlation coefficient, r, a dimensionless index that ranges from -1.0 to 1.0 inclusive and reflects the extent of a linear relationship between two data sets.

Syntax

PEARSON(array1, array2)

The PEARSON function syntax has the following arguments:

  • Array1    Required. A set of independent values.

  • Array2    Required. A set of dependent values.

Remarks

  • The arguments must be either numbers or names, array constants, or references that contain numbers.

  • If an array or reference argument contains text, logical values, or empty cells, those values are ignored; however, cells with the value zero are included.

  • If array1 and array2 are empty or have a different number of data points, PEARSON returns the #N/A error value.

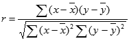
  • The formula for the Pearson product moment correlation coefficient, r, is:

    Equation

    where x and y are the sample means AVERAGE(array1) and AVERAGE(array2).

Example

Copy the example data in the following table, and paste it in cell A1 of a new Excel worksheet. For formulas to show results, select them, press F2, and then press Enter. If you need to, you can adjust the column widths to see all the data.

Data

Independent values

Dependent values

9

10

7

6

5

1

3

5

1

3

Formula

Description (Result)

R esult

=PEARSON(A3:A7,B3:B7)

Pearson product moment correlation coefficient for the data sets above (0.699379)

0.699379

Need more help?

Want more options?

Explore subscription benefits, browse training courses, learn how to secure your device, and more.