Applies To
Excel for Microsoft 365 Excel for Microsoft 365 for Mac Excel for the web Excel 2024 Excel 2024 for Mac Excel 2021 Excel 2021 for Mac Excel 2019 Excel 2016

This article describes the formula syntax and usage of the VARA function in Microsoft Excel.

Description

Estimates variance based on a sample.

Syntax

VARA(value1, [value2], ...)

The VARA function syntax has the following arguments:

  • Value1, value2, ...    Value1 is required, subsequent values are optional. 1 to 255 value arguments corresponding to a sample of a population.

Remarks

  • VARA assumes that its arguments are a sample of the population. If your data represents the entire population, you must compute the variance by using VARPA.

  • Arguments can be the following: numbers; names, arrays, or references that contain numbers; text representations of numbers; or logical values, such as TRUE and FALSE, in a reference.

  • Logical values and text representations of numbers that you type directly into the list of arguments are counted.

  • Arguments that contain TRUE evaluate as 1; arguments that contain text or FALSE evaluate as 0 (zero).

  • If an argument is an array or reference, only values in that array or reference are used. Empty cells and text values in the array or reference are ignored.

  • Arguments that are error values or text that cannot be translated into numbers cause errors.

  • If you do not want to include logical values and text representations of numbers in a reference as part of the calculation, use the VAR function.

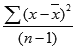
  • VARA uses the following formula:

    Formula

    where x is the sample mean AVERAGE(value1,value2,…) and n is the sample size.

Example

Copy the example data in the following table, and paste it in cell A1 of a new Excel worksheet. For formulas to show results, select them, press F2, and then press Enter. If you need to, you can adjust the column widths to see all the data.

Strength

1345

1301

1368

1322

1310

1370

1318

1350

1303

1299

Formula

Description

R esult

=VARA(A2:A11)

Estimates the variance for the breaking strength of the tools being tested. VARA assumes a population sample.

754.26667

Need more help?

Want more options?

Explore subscription benefits, browse training courses, learn how to secure your device, and more.